Java switch语句
在 Java 中,switch 语句用于从多个条件中执行一条语句。它类似于 if-else-if 梯子。
Switch 语句由基于条件的案例和默认案例组成。
在 switch 语句中,表达式可以是字节、短、char 和 int 类型。
从 JDK-7,枚举,字符串也可以用于开关情况。
以下是使用 switch 语句时的一些规则:
- 可以有一个或 N 个案例。
- 案例中的值必须是唯一的。
- 案例的每个语句都可以有一个 break 语句。它是可选的。
语法:
下面是用 Java 声明开关大小写的语法。
switch(expression)
{
case value1:
//code for execution;
break; //optional
case value2:
// code for execution
break; //optional
......
......
......
......
Case value n:
// code for execution
break; //optional
default:
code for execution when none of the case is true;
}
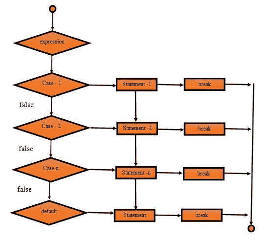
交换块的数据流图

示例:使用整数值
在本例中,我们使用 int 类型值来匹配案例。本示例基于数值返回日期。
public class SwitchDemo1{
public static void main(String[] args)
{
int day = 3;
String dayName;
switch (day) {
case 1:
dayName = "Today is Monday";
break;
case 2:
dayName = "Today is Tuesday";
break;
case 3:
dayName = "Today is Wednesday";
break;
case 4:
dayName = "Today is Thursday";
break;
case 5:
dayName = "Today is Friday";
break;
case 6:
dayName = "Today is Saturday";
break;
case 7:
dayName = "Today is Sunday";
break;
default:
dayName = "Invalid day";
break;
}
System.out.println(dayName);
}
}

在 Switch 语句中使用枚举的示例
正如我们已经说过的,Java 允许在开关情况下使用枚举。所以我们正在创建一个元音字母的枚举,并在 switch case 中使用它的元素。
public class SwitchDemo2{
public enumvowel{a, e, i, o, u}
public static void main(String args[])
{
vowel[] character= vowel.values();
for (vowel Now : character)
{
switch (Now)
{
case a:
System.out.println("'a' is a Vowel");
break;
case e:
System.out.println("'e' is a Vowel");
break;
case i:
System.out.println("'i' is a Vowel");
break;
case o:
System.out.println("'o' is a Vowel");
break;
case u:
System.out.println("'u' is a Vowel");
break;
default:
System.out.println("It is a consonant");
}
}
}
}

例:开关箱内的串
由于 Java 允许在开关情况下使用字符串值,所以我们使用字符串来创建一个基于字符串的开关情况示例。
public static void main(String[] args) {
String name = "Mango";
switch(name){
case "Mango":
System.out.println("It is a fruit");
break;
case "Tomato":
System.out.println("It is a vegitable");
break;
case "Coke":
System.out.println("It is cold drink");
}
}
}
这是一种水果
例:无断路开关情况
Break 语句用于中断程序的当前执行。在开关情况下,断开用于终止开关情况的执行并将控制转移到开关情况的外部。
在开关情况下可选择使用断开。让我们看看如果我们不利用休息时间会发生什么。
public class Demo{
public static void main(String[] args) {
String name = "Mango";
switch(name){
case "Mango":
System.out.println("It is a fruit");
case "Tomato":
System.out.println("It is a vegitable");
case "Coke":
System.out.println("It is cold drink");
}
}
}
这是水果,这是蔬菜,这是冷饮
See, if we don’t use break, it executes all the cases after matching case.