八、自组织临界
原文:Chapter 8 Self-organized criticality
译者:飞龙
自豪地采用谷歌翻译
在前一章中,我们看到了一个具有临界点的系统的例子,并且我们探索了临界系统 - 分形几何的一个共同特性。
在本章中,我们将探讨临界系统的另外两个性质:重尾分布,我们在第五章中见过,和粉红噪声,我将在本章中解释。
这些性质是部分有趣的,因为它们在自然界中经常出现;也就是说,许多自然系统会产生分形几何,重尾分布和粉红噪声。
这个观察提出了一个自然的问题:为什么许多自然系统具有临界系统的特性?一个可能的答案是自组织临界性(SOC),这是一些系统向临界状态演化并保持它的趋势。
在本章中,我将介绍沙堆模型,这是第一个展示 SOC 的系统。
本章的代码位于本书仓库的chap08.ipynb中。使用代码的更多信息,请参见第?章。
8.1 临界系统
许多临界系统表现出常见的行为:
分形几何:例如,冷冻的水倾向于形成分形图案,包括雪花和其他晶体结构。分形的特点是自相似性;也就是说,图案的一部分与整体的缩放副本相似。
一些物理量的重尾分布:例如,在冷冻的水中,晶体尺寸的分布是幂律的。
呈现粉红噪声的时间变化。复合信号可以分解为它们的频率分量。在粉红噪声中,低频分量比高频分量功率更大。具体而言,频率
f处的功率与1 / f成正比。
临界系统通常不稳定。例如,为了使水保持部分冷冻状态,需要主动控制温度。如果系统接近临界温度,则小型偏差倾向于将系统从一个相位移到另一个相位。
许多自然系统表现出典型的临界性行为,但如果临界点不稳定,它们本质上不应该是常见的。这是 Bak,Tang 和 Wiesenfeld 的解决的困惑。他们的解决方案称为自组织临界(SOC),其中“自组织”意味着从任何初始状态开始,系统都会转向临界状态,并停留在那里,无需外部控制。
8.2 沙堆
沙堆模型由 Bak,Tang 和 Wiesenfeld 于 1987 年提出。它不是一个现实的沙堆模型,而是一个抽象,它用(1)大量(2)与邻居互动的元素来模拟物理系统。
沙堆模型是一个二维细胞自动机,每个细胞的状态代表沙堆的部分斜率。在每个时间步骤中,检查每个细胞来查看它是否超过临界值K,通常是 3。如果是,则它会“倒塌”并将沙子转移到四个相邻细胞;也就是说,细胞的斜率减少 4,并且每个邻居增加 1。在网格的周边,所有细胞保持为斜率 0,所以多余的会溢出边缘。
Bak,Tang 和 Wiesenfeld 首先将所有细胞初始化为大于K的水平,然后运行模型直至稳定。然后他们观察微小扰动的影响;他们随机选择一个细胞,将其值增加 1,然后再次运行模型,直至稳定。
对于每个扰动,他们测量T,这是沙堆稳定所需的时间步数,S是倒塌的细胞总数 [1]。
[1] 原始论文使用了
S的不同定义,但是后来的工作使用了这个定义。
大多数情况下,放置一粒沙子不会导致细胞倒塌,因此T = 1和S = 0。 但偶尔一粒沙子会引起雪崩,影响很大一部分网格。 结果表明,T和S的分布是重尾的,这支持了系统处于临界状态的断言。
他们得出结论:沙堆模型表现出“自组织临界性”,这意味着从最初的状态开始,它不需要外部控制,或者称之为“微调”任何参数,就可以向临界状态发展。 随着更多沙粒的添加,模型仍处于临界状态。
在接下来的几节中,我复制他们的实验并解释结果。
8.3 实现沙堆
为了实现沙堆模型,我定义了一个名为SandPile的类,该类继承自Cell2D.py中定义的Cell2D。
class SandPile(Cell2D):
def __init__(self, n, m, level=9):
self.array = np.ones((n, m)) * level
数组中的所有值都初始化为level,这通常大于倒塌阈值K。
以下是step方法,它找到大于K的所有细胞并将它们推翻:
kernel = np.array([[0, 1, 0],
[1,-4, 1],
[0, 1, 0]], dtype=np.int32)
def step(self, K=3):
toppling = self.array > K
num_toppled = np.sum(toppling)
c = correlate2d(toppling, self.kernel, mode='same')
self.array += c
return num_toppled
为了解释这是如何工作的,我将从一小堆开始,只有两个准备推翻的细胞:
pile = SandPile(n=3, m=5, level=0)
pile.array[1, 1] = 4
pile.array[1, 3] = 4
最初,pile.array是这样:
[[0 0 0 0 0]
[0 4 0 4 0]
[0 0 0 0 0]]
现在我们可以选择高于倒塌阈值的细胞:
toppling = pile.array > K
结果是一个布尔数组,但是我们可以像整数数组一样使用它:
[[0 0 0 0 0]
[0 1 0 1 0]
[0 0 0 0 0]]
如果我们关联这个数组和核起来,它会在每个toppling是 1 的地方复制这个核。
c = correlate2d(toppling, kernel, mode='same')
这就是结果:
[[ 0 1 0 1 0]
[ 1 -4 2 -4 1]
[ 0 1 0 1 0]]
注意,在核的副本重叠的地方,它们会相加。
这个数组包含每个细胞的改变量,我们用它来更新原始数组:
pile.array += c
这就是结果:
[[0 1 0 1 0]
[1 0 2 0 1]
[0 1 0 1 0]]
这就是step的工作原理。
默认情况下,correlate2d认为数组的边界固定为零,所以任何超出边界的沙粒都会消失。
SandPile还提供了run,它会调用step,直到没有更多的细胞倒塌:
def run(self):
total = 0
for i in itertools.count(1):
num_toppled = self.step()
total += num_toppled
if num_toppled == 0:
return i, total
返回值是一个元组,其中包含时间步数和倒塌的细胞总数。
如果你不熟悉itertools.count,它是一个无限生成器,它从给定的初始值开始计数,所以for循环运行,直到step返回 0。
最后,drop方法随机选择一个细胞并添加一粒沙子:
def drop(self):
a = self.array
n, m = a.shape
index = np.random.randint(n), np.random.randint(m)
a[index] += 1
让我们看一个更大的例子,其中n=20:
pile = SandPile(n=20, level=10)
pile.run()

图 8.1:沙堆模型的初始状态(左),和经过 200 步(中)和 400 步(右)之后的状态
初始级别为 10 时,这个沙堆需要 332 个时间步才能达到平衡,共有 53,336 次倒塌。 图?(左)展示了初始运行后的状态。 注意它具有重复元素,这是分形特征。 我们会很快回来的。
图?(中)展示了在将 200 粒沙子随机放入细胞之后的沙堆构造,每次都运行直至达到平衡。 初始状态的对称性已被打破;状态看起来是随机的。
最后图?(右)展示了 400 次放置后的状态。 它看起来类似于 200 次之后的状态。 事实上,这个沙堆现在处于稳定状态,其统计属性不会随着时间而改变。 我将在下一节中解释一些统计属性。
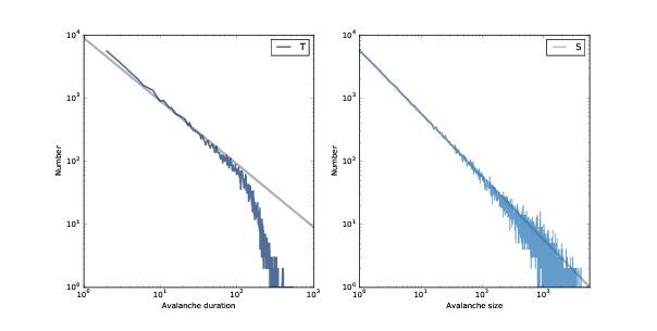
8.4 重尾分布
如果沙堆模型处于临界状态,我们希望为一些数量找到重尾分布,例如雪崩的持续时间和大小。 所以让我们来看看。
我会生成一个更大的沙堆,n = 50,初始水平为 30,然后运行直到平衡状态:
pile2 = SandPile(n=50, level=30)
pile2.run()
下面我们会运行 100,000 个随机放置。
iters = 100000
res = [pile2.drop_and_run() for _ in range(iters)]
顾名思义,drop_and_run调用drop和run,并返回雪崩的持续时间和倒塌的细胞总数。
所以res是(T, S)元组的列表,其中T是持续时间,以时间步长为单位,并且S是倒塌的细胞。 我们可以使用np.transpose将res解构为两个 NumPy 数组:
T, S = np.transpose(res)
大部分放置的持续时间为 1,没有倒塌的细胞,所以我们会将这些过滤掉。
T = T[T>1]
S = S[S>0]
T和S的分布有许多小值和一些非常大的值。 我将使用thinkstats2中的Hist类创建值的直方图; 即每个值到其出现次数的映射。
from thinkstats2 import Hist
histT = Hist(T)
histS = Hist(S)

图 8.2:雪崩持续时间(左)和大小(右)的分布,线性刻度。

图 8.3:雪崩持续时间(左)和大小(右)的分布,双对数刻度。
图?显示了值小于 50 的结果。但正如我们在第?节中看到的那样,我们可以通过将它们绘制在双对数坐标上,更清楚地了解这些分布,如图?所示。
对于 1 到 100 之间的值,分布在双对数刻度上几乎是直的,这表示了重尾。 图中的灰线斜率为 -1,这表明这些分布遵循参数为α=1的幂律。
对于大于 100 的值,分布比幂律模型下降更快,这意味着较大值比模型的预测更少。 一种解释是,这种效应是由于沙堆的有限尺寸造成的,因此我们可能预计,更大的沙堆能更好地拟合幂律。
另一种可能性是,这些分布并不严格遵守幂律,你可以在本章结尾的一个练习中探索。 但即使它们不是幂律分布,它们仍然是重尾的,因为我们预计系统处于临界状态。
8.5 分形
临界系统的另一个属性是分形几何。 图中的初始状态 (左)类似于分形,但是你不能总是通过观察来分辨。 识别分形的更可靠的方法是估计其分形维度,正如第?节那样。
我首先制作一个更大的沙堆,n = 131,初始水平为 22。
pile3 = SandPile(n=131, level=22)
pile3.run()
顺便说一下,这个沙堆达到平衡需要 28,379 步,超过 2 亿个细胞倒塌。
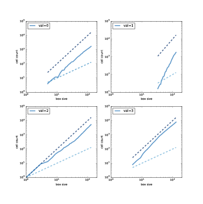
为了更清楚地看到生成的团,我选择水平为 0, 1, 2 和 3 的细胞,并分别绘制它们:
def draw_four(viewer, vals=range(4)):
thinkplot.preplot(rows=2, cols=2)
a = viewer.viewee.array
for i, val in enumerate(vals):
thinkplot.subplot(i+1)
viewer.draw_array(a==vals[i], vmax=1)
draw_four需要SandPileViewer对象,它在Sand.py中定义。 参数vals是我们想要绘制的值的列表; 默认值是 0, 1, 2 和 3。
以下是它的使用方式:
viewer3 = SandPileViewer(pile3)
draw_four(viewer3)

图 8.4:沙堆模型的初始状态,从上到下,从左到右选择水平为 0, 1, 2 和 3 的细胞。
图?展示了结果。 现在对于这些图案中的每一个,我们都可以使用方框计数算法来估计分形维数:我们将计算沙堆中心的小方框中的细胞数量,然后看看细胞数量随着方框变大而如何增加。 这是我的实现:
def count_cells(a):
n, m = a.shape
end = min(n, m)
res = []
for i in range(1, end, 2):
top = (n-i) // 2
left = (m-i) // 2
box = a[top:top+i, left:left+i]
total = np.sum(box)
res.append((i, i**2, total))
return np.transpose(res)
参数a是 NumPy 布尔数组,值为 0 和 1。 方框的大小最初为 1,每次循环中,它会增加 2,直到到达终点,它是n和m中较小的一个。
每次循环中,box都是一组宽度和高度为i的细胞,位于数组中心。 total是方框中“开”细胞的数量。
结果是一个元组列表,其中每个元组包含i和i ** 2,用于比较,以及方框中的细胞数量。
最后,我们使用np.transpose生成一个 NumPy 数组,其中包含i,i ** 2和total。
为了估计分形维度,我们提取行:
steps, steps2, cells = res
之后绘制结果:
thinkplot.plot(steps, steps2, linestyle='dashed')
thinkplot.plot(steps, cells)
thinkplot.plot(steps, steps, linestyle='dashed')
然后使用linregress在双对数刻度上拟合直线:
from scipy.stats import linregress
params = linregress(np.log(steps), np.log(cells))
slope = params[0]

图 8.5:与斜率位 1 和 2 的虚线相比,水平为 0, 1, 2 和 3 的细胞的方框计数。
图?展示了结果。 请注意,只有val = 2(左下)从方框大小 1 开始,因为中心细胞的值为 2;其他直线从包含非零细胞数的第一个方框大小开始。
在双对数刻度上,细胞计数几乎形成直线,这表明我们正在测量方框大小的有效范围内的分形维度。
估计的分形维度是:
0 1.871
1 3.502
2 1.781
3 2.084
值为 0, 1 和 2 的分形维度似乎明显不是整数,这表明图像是分形的。
严格来说,值为 3 的分形维度与 2 不可区分,但考虑到其他值的结果,线的表观曲率和图案的外观,似乎它也是分形的。
本章结尾的练习之一,要求你使用不同的n和level值,再次运行此分析,来查看估计的维度是否一致。
8.6 频谱密度
提出沙堆模型的原始论文的标题是《自组织临界:1/f 噪声的解释》(Self-Organized Criticality: An Explanation of 1/f Noise)。 正如小标题所述的那样,Bak,Tang 和 Wiesenfeld 正试图解释为什么许多自然和工程系统表现出 1/f 噪声,这也被称为“闪烁噪声”和“粉红噪声”。
为了了解粉红噪声,我们必须绕路来了解信号,频谱分析和噪声。
信号:
信号是随时间变化的任何数量。 一个例子是声音,即空气密度的变化。 在本节中,我们将探讨雪崩持续时间和大小在不同时间段内的变化。
频谱分析:
任何信号都可以分解为一组具有不同音量或功率的频率分量。 例如,演奏中央 C 上方的 A 的小提琴的声音,包含频率为 440 Hz 的主要分量,但它也包含较低功率分量,例如 880 Hz,1320 Hz 和其他整数倍的基频。 频谱分析是寻找构成信号的成分和它们的功率的过程,称为其频谱。
噪声:
在通常的用法中,“噪声”通常是一种不需要的声音,但在信号处理的情况下,它是一个包含许多频率成分的信号。
噪声有很多种。 例如,“白噪声”是一个信号,它在很宽的频率范围内拥有相同功率的成分。
其他种类的噪声在频率和功率之间有不同的关系。 在“红噪声”中,频率为f的功率为1 / f ** 2,我们可以这样写:
P(f) = 1 / f ** 2
我们可以把指数 2 换成β来扩展它:
P(f) = 1 / f ** β
当β= 0时,该等式描述白噪声; 当β= 2时,它描述红噪声。 当参数接近 1 时,我们将结果称为1 / f噪声。 更一般来说,任何介于 0 和 2 之间的噪声称为“粉红”,因为它介于白色和红色之间。
那么这如何适用于沙堆模型呢? 假设每次细胞倒塌时,它会发出声音。 如果我们在运行中记录了沙堆模型,它会是什么样子?
在我的SandPile实现运行时,它会记录在每个时间步骤中,倒塌的细胞数量,并将结果记录在名为toppled_seq的列表中。 例如,在第?节中运行模型之后,我们可以提取产生的信号:
signal = pile2.toppled_seq
为了计算信号的频谱(同样,这是它包含的频率和它们的功率),我们可以使用快速傅立叶变换(FFT)。
唯一的问题是噪声信号的频谱往往是嘈杂的。 但是,我们可以通过将一个长信号分成多个段,计算每个段的 FFT,然后计算每个频率的平均功率来使其平滑。
该算法的一个版本被称为“韦尔奇方法”,SciPy 提供了一个实现。 我们可以像这样使用它:
from scipy.signal import welch
nperseg = 2048
freqs, spectrum = welch(signal, nperseg=nperseg, fs=nperseg)
nperseg是信号分解成的片段长度。 对于较长的片段,我们可以获得更多的频率成分,但由于平均的片段数较少,结果更加嘈杂。
fs是“采样频率”,即每单位时间的信号中的数据点数。 通过设置fs = nperseg,我们可以得到从 0 到nperseg / 2的频率范围,但模型中的时间单位是任意的,所以频率并不意味着什么。
返回值,freqs和powers是 NumPy 数组,包含成分的频率及其相应的功率。
如果信号是粉红噪声,我们预计:
P(f) = 1 / f ** β
对两边取对数会得到:
logP(f) = −β logf
所以如果我们在双对数刻度上绘制功率与频率的关系,我们预计有一条斜率为β的直线。

图 8.6:随着时间推移的倒塌细胞的功率频谱,双对数刻度
图?显示结果。 对于 10 到 1000 之间的频率(以任意单位),频谱落在一条直线上。 灰线斜率为 -1.58,这对应于由 Bak,Tang 和 Wiesenfeld 报告的参数β= 1.58。
这个结果证实了沙堆模型产生粉红噪声。
8.7 还原论与整体论
Bak,Tang 和 Wiesenfeld 的原始论文是过去几十年中被引用次数最多的论文之一。 其他系统已被证明是自组织临界,特别是沙堆模型已被详细研究。
事实证明,沙堆模型并不是一个很好的沙堆模型。 沙子密集且不太粘,所以动量对雪崩的行为有着不可忽视的影响。 因此,与模型预测的相比,非常大和非常小的雪崩数量更少,并且分布可能不是重尾。
Bak 建议,这个观察没有考虑到这一点。 沙堆模型并是现实的沙堆模型;它旨在成为一大类系统的简单模型。
为了理解这个要点,考虑两种模式,还原论和整体论,会有帮助。 还原论模型通过描述系统的各个部分及其相互作用来描述系统。 当还原论模型用于解释时,它取决于模型和系统组成部分之间的类比。
例如,为了解释为什么理想气体定律成立,我们可以用点质量模拟组成气体的分子,并将它们的相互作用建模为弹性碰撞。 如果你模拟或分析这个模型,你会发现它服从理想的气体定律。 一定程度上,该模型满足了,气体中的分子表现为模型中分子。 类比位于系统的各个部分和模型的各个部分之间。

图 8.7:还原论模型的逻辑结构
整体论模型更关注系统之间的相似性,而对类比部分不太感兴趣。 整体论建模方法通常由两个步骤组成,不一定按以下顺序:
- 识别出现在各种系统中的一种行为。
- 寻找证明这种行为的简单模型。
例如,在《自私的基因》(The Selfish Gene)中,理查德道金斯(Richard Dawkins)认为,遗传进化只是进化系统的一个例子。 他确定了这些类别的基本元素 - 离散复制器(discrete replicator),可变性和差异生殖(differential reproduction) - 并提出任何包含这些元素的系统都会显示类似的行为,包括不带设计的复杂性。
作为演化系统的另一个例子,他提出了“模因”(memes),即通过人与人之间的传播而复制的思想或行为 [2]。 由于模因争夺人类的注意力的资源,它们的演变方式与遗传进化相似。
[2] “模因”的用法源自 Dawkins,并且早于 20 年前这个词在互联网上的衍生用法。
模因模型的批评者指出,模因是基因的一个很差的类比。 模因在许多方面与基因不同。 但道金斯认为,这些差异并不重要,因为模因不可能与基因类似。 相反,模因和基因是同一类别的例子:进化系统。 它们之间的差异强调了真正的观点,即进化是一个适用于许多看似不同的系统的通用模型。 图?显示了这个论述的逻辑结构。
Bak 也提出了类似的观点,即自组织临界性是一大类系统的通用模型:
由于这些现象无处不在,它们不能依赖于任何具体的细节......如果一大类问题的物理结果是相同的,这为【理论家】提供了选项,选择属于该类的最简单的可能的【模型】,来进行详细的研究 [3]。
[3] Bak, How Nature Works, Springer-Verlag 1996, page 43.
许多自然系统表现出临界系统的行为特征。 Bak 对这种普遍性的解释是,这些系统是自组织临界性的示例。 有两种方式可以支持这个论点。 一个是建立一个特定系统的现实模型,并显示该模型表现出 SOC。 其次是证明 SOC 是许多不同模型的一个特征,并确定这些模型共同的基本特征。
第一种方法我称之为还原论,可以解释特定系统的行为。 第二种是整体论的方法,解释了自然系统中临界性的普遍性。 他们是不同目的的不同模型。
对于还原论模型,现实主义是主要优点,简单性是次要的。 对于整体模型,这是相反的。
8.8 SOC,因果和预测
如果股市指数在一天内下跌一个百分点,则不需要解释。 但如果它下降 10%,人们想知道为什么。 电视上的专家愿意提供解释,但真正的答案可能是没有解释。
股票市场的日常变化展示了临界性的证据:数值变化的分布是重尾的,时间序列表现出粉红噪音。 如果股票市场是一个临界系统,我们应该预计,偶尔的巨大变化是市场普通行为的一部分。
地震强度的分布也是重尾的,并且存在可能解释这种行为的,地质断层动力学的简单模型。 如果这些模型是正确的,那就意味着大地震是普遍的; 也就是说,与小地震相比,他们不需要更多解释。
同样,查尔斯·佩罗(Charles Perrow)认为,像核电厂这样的大型工程系统的故障,就像沙堆模型中的雪崩一样。 大多数故障是小的,孤立的和无害的,但偶尔坏运气的巧合会产生灾难。 当发生重大事故时,调查人员会去寻找原因,但如果佩罗的“正常事故理论”是正确的,那么可能没有特殊原因导致严重故障。
这些结论并不令人欣慰。 除其他事情外,它们意味着大地震和某些事故从根本上是不可预测的。不可能观察临界系统的状态,并说大雪崩是否“来临”。 如果系统处于临界状态,则总是可能发生大型雪崩。 它只取决于下一粒沙子。
在沙堆模型中,大雪崩的原因是什么?哲学家有时会将直接(proximate)原因与根本(ultimate)原因区分开来,前者是最直接的原因,无论出于何种原因,后者被视为真正的原因。
在沙堆模型中,雪崩的直接原因是一粒沙子,但引起大雪崩的沙粒与其他沙粒相同,所以它没有提供特别的解释。大雪崩的根本原因是整个系统的结构和动态:大雪崩的发生是因为它们是系统的一个属性。
许多社会现象,包括战争,革命,流行病,发明和恐怖袭击,其特点是重尾分布。如果这些分布的原因是社会系统是临界的,那么这表明主要的历史事件可能从根本上是不可预测的,并且无法解释。
8.9 练习
练习 1
本章的代码位于本书仓库中的 Jupyter 笔记本chap08.ipynb中。打开这个笔记本,阅读代码,然后运行单元格。你可以使用这个笔记本来练习本章的练习。我的解决方案在chap08soln.ipynb中。
练习 2
为了检验T和S的分布是否是重尾的,我们将它们的直方图绘制在双对数刻度上,这就是 Bak,Tang 和 Wiesenfeld 在他们的论文中所展示。但我们在第?节中看到,这种可视化可能掩盖分布的形状。使用相同的数据,绘制一个图表,显示S和T的累积分布(CDF)。对于他们的形状你可以说什么?他们是否遵循幂律?他们是重尾的嘛?
你可能会发现将 CDF 绘制在对数和双对数刻度上会有所帮助。
练习 3
在第?章,我们发现沙堆模型的初始状态会产生分形图案。但是在我们随机放置了大量的沙粒之后,图案看起来更随机。
从第?章中的示例开始,运行沙堆模型一段时间,然后计算 4 个水平中的每个的分形维度。沙堆模型是否处于稳定状态?
练习 4
另一种沙堆模型,称为“单一来源”模型,从不同的初始条件开始:中心细胞设为较大值,除了中心细胞,所有细胞设为 0,而不是所有细胞都是同一水平的。编写一个创建SandPile对象的函数,设置单一来源的初始条件,并运行,直到达到平衡。结果出现了分形吗?
你可以在 http://math.cmu.edu/~wes/sandgallery.html 上了解这个版本的沙堆模型。
练习 5
在 1989 年的一篇论文中,Bak,Chen 和 Creutz 认为生命游戏是一个 SOC 系统 [5]。
[5] “Self-organized criticality in the Game of Life”,可以在这里获取:http://www.nature.com/nature/journal/v342/n6251/abs/342780a0.html。
为了复制他们的测试,运行 GoL CA 直到稳定,然后随机选择一个细胞并翻转它。运行 CA 直到它再次稳定下来,跟踪T,这个是它需要的时间步数,以及S,受影响的细胞数。重复进行大量试验并绘制T和S的分布。同时,记录在每个时间步骤中改变状态的细胞数量,并查看得到的时间序列是否与粉红噪声相似。
练习 6
在《自然界的分形几何》(The Fractal Geometry of Nature)中,Benoit Mandelbrot 提出了自然系统中重尾分布的普遍性的解释,他称之为“异端”。 正如 Bak 所言,许多系统可以独立产生这种行为。 相反,它们可能只是少数,但系统之间可能会有交互,它们导致行为的传播。
为了支持这个论点,Mandelbrot 指出:
- 观测数据的分布通常是“一个固定的底层真实分布,和一个高度可变的过滤器的联合效应”。
- 重尾分布对于过滤器是健壮的;也就是说,“各种过滤器使其渐近行为保持不变”。
你怎么看待这个观点? 你会把它描述为还原论还是整体论?
练习 7
在 http://en.wikipedia.org/wiki/Great_man_theory 上阅读“伟人”的历史理论。 自组织临界对这个理论有什么暗示?