五、强化学习
原文:Machine_Learning_for_Humans, Part 5: Reinforcement Learning
作者:Vishal Maini
译者:飞龙
探索和利用。马尔科夫决策过程。Q 学习,策略学习和深度强化学习。
我刚刚吃了一些巧克力来完成最后这部分。
在监督学习中,训练数据带有来自神一般的“监督者”的答案。如果生活可以这样,该多好!
在强化学习(RL)中,没有这种答案,但是你的强化学习智能体仍然可以决定如何执行它的任务。在缺少现有训练数据的情况下,智能体从经验中学习。在它尝试任务的时候,它通过尝试和错误收集训练样本(这个动作非常好,或者非常差),目标是使长期奖励最大。
在这个“写给人类的机器学习”的最后一章中,我们会探索:
- 探索和利用的权衡
- 马尔科夫决策过程(MDP),用于 RL 任务的经典配置
- Q 学习,策略学习和深度强化学习
- 最后,价值学习的问题
最后,像往常一样,我们编译了一些最喜欢的资源,用于深入探索。
让我们在迷宫中放一个机器老鼠
思考强化学习的最简单的语境是一个游戏,它拥有明确的目标和积分系统。
假设我们正在玩一个游戏,其中我们的老鼠正在寻找迷宫的尽头处的奶酪的终极奖励(🧀 + 1000 分),或者沿路的水的较少奖励(💧 + 10 分)。同时,机器老鼠打算避开带有电击的区域(⚡ - 100 分)。

奖励就是奶酪
在一些探索之后,老鼠可能找到三个水资源的小型天堂,并且花费它的时间来利用它的发现,通过不断积累水资源的小型奖励,永远不深入迷宫来追求更大的奖励。
但是你可以看到,老鼠会错误迷宫深处的一片更好的绿洲,它就是尽头处的奶酪的终极奖励。
这就产生了探索和利用的权衡。老鼠的一种用于探索的简单策略是,在大多数情况下(可以是 80%),做出最佳的已知动作,但是偶尔探索新的,随机选取的方向,即使它可能远离已知奖励。
这个策略叫做 epsilon 贪婪策略,其中 epsilon 就是“给定全部已知知识的条件下,智能体做出随机选取的动作,而不是更可能最大化奖励的动作”的时间百分比(这里是 20%)。我们通常以大量探索起步(也就是较高的 epsilon 值)。一会儿之后,随着老鼠更加了解迷宫,以及哪个操作产生更大的长期奖励,它会将 epsilon 逐渐降到 10%,或者甚至更低,因为它习惯于利用已知。
重要的是要记住,奖励并不总是立即的:在机器老鼠的示例中,迷宫里可能有狭长的通道,你需要走过它,在你到达奶酪之前可能有好几个决策点。

智能体观测环境,做出动作来与环境互动,并接受正向或者负向的奖励。图片来自 UCB CS 294:深度强化学习,由 John Schulman 和 Pieter Abbeel 讲授
马尔科夫决策过程
老鼠迷宫之旅可以形式化为马尔科夫决策过程。这是一个过程,状态到状态的转移拥有特定的概率。我们会通过参考我们的机器老鼠的示例来解释。MDP 包含:
- 有限的状态集。我们的老鼠在迷宫中有可能的位置。
- 每个状态上的可用的动作集。这个就是走廊中的“前进,后退”,或者十字路口中的“前进,后退,左转,右转”。
- 状态之间的转换。例如,如果在十字路口左转,你就会到达一个新的位置。一系列概率可能链接到至少一个状态上(也就是,当你在口袋妖怪游戏中使用招式的时候,可能没打中,造成一些伤害,或者造成足够的伤害来击倒对手)。
- 和每个转换有关的奖励。在机器老鼠的例子中,多数奖励都是 0,但是如果你到达了一个位置,那里有水或者奶酪,就是正的,如果有电击就是负的。
- 0 和 1 之间的折现系数
γ。它量化了立即奖励和未来奖励的重要性的差异。例如,如果γ是 0.9,并且 3 步之后奖励为 5,那么奖励的当前值就是0.9 ** 3 * 5。 - 无记忆。一旦知道了当前状态,老鼠的历史迷宫踪迹可以擦除,因为马尔科夫的当前状态包含来自历史的所有拥有信息。换句话说,“了解现在的情况下,未来不取决于历史”。
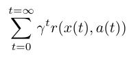
既然我们知道了 MDP 是什么,我们可以形式化老鼠的目标。我们尝试使长期奖励之和最大。

让我们逐项观察这个和式。首先,我们所有时间中对步骤t求和。让我们在这里将γ设为 1 并忘掉它。r(x,a)是奖励函数。对于状态x和动作a(也就是在十字路口左转),它会带给你奖励,和状态s上的动作a相关。回到我们的方程,我们尝试使未来奖励的和最大,通过在每个状态做出最佳动作。
既然我们建立了我们的强化学习问题,并形式化了目标,让我们探索几种可能的解决方案。
Q 学习:学习动作-分值函数
Q 学习是一种技巧,它基于动作-分值函数求解了要做出哪个动作,这个函数确定了在特定状态下做出特定行为的分值。
我们拥有一个函数Q,它接受一个状态和一个动作作为输入,并返回这个动作(以及所有后续动作)在这个状态上的预期奖励。在我们探索环境之前,Q提供相同(任意)的固定值。但是之后,随着我们探索了更多环境,Q向我们提供动作a在状态s上的分值的,不断优化的近似。我们在这个过程中更新我们的函数Q。
这个方程来自维基百科的 Q 学习页面,很好解释了它。他展示了,我们如何更新 Q 的值,基于我们从环境中得到的奖励:

让我们忽略折现系数γ,再次将其设为 1。首先要记住,Q 应该为所有奖励之和,来自所选动作 Q 和所有后续的最优动作。
现在让我们从左到右浏览方程。让我们在状态st上做出动作,我们更新我们的Q(st,at)的值,通过向其添加一项。这一项包含:
- 学习率
alpha:这表示在更新我们的值时,我们有多激进。当alpha接近 0 时,我们更新得不是很激进。当alpha接近 1 时,我们简单将原值替换为新的值。 - 奖励
reward就是我们通过在状态st做出动作at得到的奖励。所以我们将这个奖励添加到原有的估计中。 - 我们也添加了估计的未来奖励,它就是
xt+1上的所有可用动作的,最大的可实现的奖励Q。 - 最后,我们减掉原有值
Q,来确保我们仅仅增加或减少估计值的差(当然要乘上alpha)。
既然对于每个状态-动作的偶对,我们拥有了值的估计,我们可以选取要做出哪个动作,根据我们的动作-选取策略(我们每次不一定选择导致最大预期奖励的动作,也就是使用 epsilon 贪婪探索策略,我们以一定百分比做出随机的动作)。
在机器老鼠的例子中,我们可以使用 Q 学习来找到迷宫中每个位置的分值,以及每个位置上动作“前进,后退,左转,右转”的分值。之后我们可以使用我们的动作-选取策略,来选择老鼠在每一步实际上做什么。
策略学习:状态到动作的映射
在 Q 学习方式种,我们习得了一个分值函数,它估计了每个状态-动作偶对的分值。
策略学习是个更直接的替代,其中我们习得一个策略函数π,它是每个状态到最佳对应动作的直接映射。将其看做一个行为策略:“当我观测到状态s时,最好执行动作a。”例如,一个自动驾驶的策略可能包括:“如果我看到黄灯,并且我离十字路口超过 100 英尺,我应该停下来。否则,继续向前移动。”

策略是状态到动作的映射
所以我们习得了一个函数,它会使预期奖励最大。我们知道,什么最擅长习得复杂的函数呢?深度神经网络!
Andrej Karpathy 的 Pong from Pixels 提供了一个杰出的示例,关于习得一个用于 Atari 游戏 Pong 的策略,它接受来自游戏的原始像素作为输入(状态),并输出向上或向下移动拍子的概率(动作)。

在策略梯度网络中,智能体习得最优策略,通过基于来自环境的奖励信号,使用梯度下降来调整它的权重。图片来自 http://karpathy.github.io/2016/05/31/rl/
如果你打算亲自试一试深度 RL,查看 Andrej 的文章。你会在 130 行代码内实现一个二层的策略网络,并且会学到如何切入 OpenAI 的训练场,它允许你实现并运行你的第一个强化学习算法,在大量游戏上测试它,并且查看它的表现与其它记录相比怎么样。
DQN,A3C,和深度 RL 中的进展
在 2015 年,DeepMind 使用了一个叫做深度 Q 网络(DQN)的方法,使用深度神经网络近似 Q 函数,以便在许多 Atari 游戏中击败人类:
我们展示了深度 Q 网络的智能体,仅接收像素和游戏得分作为输入,能够超越所有以前的算法的表现,并在一组 49 个游戏中,达到专业人类游戏测试人员的相当水平,使用相同的算法,网络架构和超参数。 这项工作弥合了高维感知输入和动作之间的鸿沟,产生了第一个人工智能体,它能够在多种挑战性任务中,学着变得优秀。(Silver 等,2015)
这里是一个截图,展示了在不同领域中,与线性学习器和人类相比,DQN 的位置。

这些按照职业人类游戏测试者来正则化:0% = 随便玩玩,100% = 人类的表现。来源:DeepMind 的 DQN 论文,通过深度强化学习的人类级别控制
为了帮助你构建一些直觉,关于这些进展在 RL 研究中产生,这里是一些改进的例子,关于非线性 Q 函数上的尝试,它可以改善性能和稳定性。
经验重放,通过随机化之前的观测值的更长的序列,以及对应的奖励,来避免近期经验的过拟合。这个思路由生物大脑启发:例如老鼠走迷宫,在睡觉期间“重放”神经活动的模式,以便提升迷宫中的未来表现。
循环神经网络(RNN)扩展的 DQN。当一个智能体只能看到它的直接环境时(也就是机器老鼠只能看到迷宫的特定区域,而一只鸟可以看到整个迷宫),智能体需要记住更大的地图,以便它记住东西都在哪里。这类似于人类婴儿如何发展出“物体恒存性”(object permanence),来了解东西是存在的,即使它们离开了婴儿的视野范围。RNN 是循环的,也就是,它们允许信息长时间存在。这里是深度循环 Q 网络(DQRN)玩 Doom 的视频,令人印象深刻。
https://medium.com/media/2286543cfd01ba0ac858ada4857dc635?postId=6eacf258b265
论文:https://arxiv.org/abs/1609.05521。来源:Arthur Juliani 的“使用 TensorFlow 的简单的强化学习”系列。
2016 年,仅仅在 DQN 论文的一年之后,DeepMind 发布了另一个算法,叫做 Asynchronous Advantage Actor-Critic(A3C),在训练一半的时间之后,超过了 Atari 游戏的最先进的表现(Mnih 等,2016)。A3C 是一种行动-评判算法,组合了我们之前探索的两种方式:它使用行动器(一个决定如何行动的策略网络),以及一个评判器(一个 Q 网络,决定什么是有价值的东西)。Arthur Juliani 写了一个不错的,特别关于 A3C 网络是什么样。A3C 现在是 OpenAI 的 Universe Starter Agent。
从那个时候之后,就有了无数吸引人的突破 -- 从 AI 发明自己的语言,到教会他们自己在多种地形中行走。这个系列仅仅涉及了 RL 前沿的表面,但是我希望它可以作为未来探索的起始点。
另外,我们打算分享这个 DeepMind 智能体学习走路的视频...并且带有声音。拿一些爆米花,打开声音,然后兼证人工智能的所有荣耀。
https://medium.com/media/e7187ecd760a815468c4e79c622dc625?postId=6eacf258b265
😱😱😱
练习材料和扩展阅读
代码
Andrej Karpathy 的 Pong from Pixels 会让你实现并运行第一个强化学习智能体。文章描述了,“我们会学着玩 ATARI 游戏(乒乓),使用 PG,从零开始,来自像素,使用深度神经网络,并且整个东西是 130 行的 Python 代码,仅仅使用 NumPy 作为依赖(Gist 链接)”。
下面,我们高度推荐 Arthur Juliani 的 使用 TensorFlow 的简单强化学习教程。它浏览了 DQN,策略学习,行动-评判方法,以及使用 TensorFlow 实现的探索策略。尝试理解它,之后重复实现涉及到的方法。
阅读 + 讲义
- Richard Sutton 的书,Reinforcement Learning: An Introduction(强化学习导论),一本神奇的书,非常值得一读
- John Schulman 的 CS294:深度强化学习(UCB)
- David Silver 的强化学习课程(UCL)
到此为止了!
如果你到达了这里,这就是我们希望的所有奖励。
我们希望你将这个系列看做机器学习的简介。我们在附录中编译了一些我们最喜欢的 ML 资源,如果你准备好来看看兔子洞有多深的话。
请不要犹豫,向我们提供思路,问题,反馈,或者你最喜欢的 GIF。
下次再见,
Vishal 和 Samer
总结
这里是一个基础的问题,它启发了这个系列,我们打算也将它给你。
作为人类,我们的目标函数是什么?我们如何定义,我们在现实生活中使其最大化的奖励?在基本的快乐和痛苦中,我们的奖励定义也倾向于包含混乱的事情,像是正确和错误,满足,爱情,精神,和目的。
有一些智力领域,在远古时期,它们就致力于“我们的目标函数是什么,或者应该是什么”的问题,它叫做“伦理学”。伦理学的核心问题是:我们应该做什么?我们应该怎么样或者?什么行为是正确或者错误的?答案非常简洁:它取决于你的价值观。
随着我们创造出越来越多的高级 AI,它会开始远离玩具问题的领域,像是 Atari 游戏,其中“奖励”仅仅由游戏中赢得了多少积分定义。并且它们越来越出现在现实世界。例如自动驾驶,需要使用更复杂的奖励定义做决策。最开始,奖励可能绑定在一些东西上,例如“安全到达目的地”。但是如果强制让它选择,保持原路线并撞击五个行人,还是转向并撞击一个行人,那么它应该不应该转向呢?如果一个行人是孩子,或者持枪的歹徒,或者下一个爱因斯坦呢?这样如何改变决策,以及为什么?如果转向也会毁掉一些值钱的艺术品呢?突然我们有了更加复杂的问题,当我们尝试定义目标函数,并且答案并不简单的时候。
这个系列中,我们探索了为什么难以对计算机显式规定猫是什么样子 -- 如果你问我们自己是怎么知道的,答案很简单,“直觉” -- 但是我们探索了机器视觉的方式,让计算机自己习得这个直觉。与之类似,在机器道德的领域,可能难以准确规定,如何求解一个行为对于另一个的正确性和错误性,但是,或许机器可以用某种方式习得这些值。这叫做“价值学习问题”,并且它可能是人类需要解决的,最重要的技术问题之一。
对于这个话题的更多东西,请见 Risks of Artificial Intelligence(人工智能风险)的概要性文章。以及随着你深入到让机器更聪明的世界中,我们鼓励你记住,AI 的进步是个双刃剑,它的两侧都特别锋利。